专区首页
新闻动态
游戏攻略
游戏视频
阵型攻略
游戏问答
数据查询
司令部数据
资源岛地图
热门搜索
布阵摆阵
|
兵种搭配
|
战术布局
|
进攻教程
|
恐怖博士
|
恐怖阶段
|
速本相关
|
视频攻略
|
近期热点
野人流打法
|
资源岛打法
|
坦克流打法
|
步兵流阵型
|
进攻和防御
|
抢资源岛
|
兵种推荐
|
阵型推荐
|
网页游戏
>>
海岛奇兵
>>
游戏攻略
>>
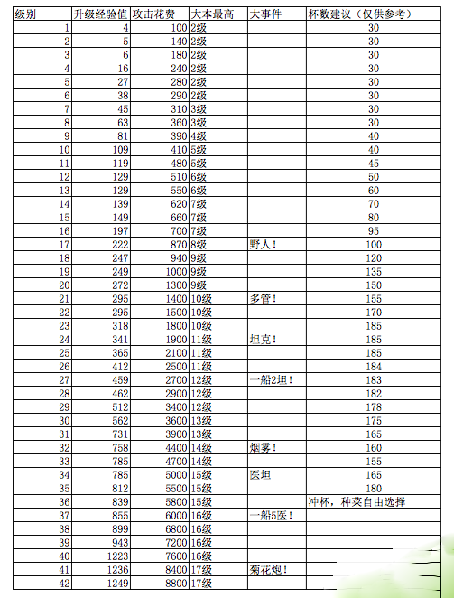
海岛奇兵大本升级数据及玩家升级数据一览
海岛奇兵大本升级数据及玩家升级数据一览
作者:佚名
来源:网络
发布时间:2014-09-26 17:54:46
海岛奇兵大本升级数据,海岛奇兵玩家升级数据
海岛奇兵专区地图:
全站视频汇总
BOSS战视频合辑
抢资源视频合辑
其他海岛奇兵视频
全站阵型布局
防守阵型布局
进攻战术
资源岛阵型
更新/活动/
新闻
大型综合
攻略
数据资料查询
恐怖博士/恐怖阶段
PS;请充分利用右上角的搜索栏,搜索词越短,搜索结果越多!
游戏攻略
+ 更多
·
海岛奇兵16本完美防御阵型布局推荐
[10-17]
·
海岛奇兵16本应对野人流的防御阵型布局
[10-17]
·
海岛奇兵16本最佳防御阵型布局推荐
[10-17]
·
海岛奇兵16本躲角防御阵型布局推荐
[10-17]
·
海岛奇兵16本防御阵型布局推荐
[10-17]
·
海岛奇兵15本阵型布局推荐攻略
[10-17]
·
海岛奇兵15本躲角防御阵型布局推荐
[10-17]
游戏视频
+ 更多
海岛奇兵集合式突破步抢岛视频
海岛奇兵不嗑药撸5蓝双闪世界第一视频分享
阵型攻略
+ 更多
海岛奇兵坦克流平推22万大鱼视频分享
海岛奇兵步兵流攻打高等玩家图文+视频攻略
网友评论
头像
登录
评论按钮
关于40407
|
友情链接
|
广告服务
|
联系我们
|
网站导航
|
网站地图
|
网站招聘
网站备案:粤ICP备12030115号-9 网络文化经营许可证编号:粤网文[2012]0525-076号
深圳尚米网络技术有限公司 版权所有 地址:深圳市宝安区新安办前进路西侧冠利达大厦一栋1005 电话:0755-27821881
Copyright
©
2009-2014 www.40407.com
网站首页
|
全站导航
全站导航
新游戏
开测表
激活码
新游评测
新游试玩
新游曝光
新游视频
游戏图库
新闻.产业
开服表
新闻中心
产业频道
产业数据
产业盘点
人物专访
游戏攻略
热门专区
找游戏
部落守卫战
卧龙吟
红警大战
烈火战神
海神
萌三国
更多频道
道具礼包
精品游戏
游戏排行榜
游戏团购
娱乐八卦
厂商平台
游戏论坛
快速入口:
找游戏
|
看新闻
|
产业频道
|
精品游戏
|
开服表
|
发号中心
|
网站地图